Wikipathologica-KDP

MDSの遺伝子異常-エピジェネティック制御因子をコードする遺伝子の異常

TET2 (tet methylcytosine dioxygenase 2)

 

TET2; tet methylcytosine dioxygenase 2, NCBI Gene ID: 54790, official name. 4q24に局在し15 exonsをもつ.

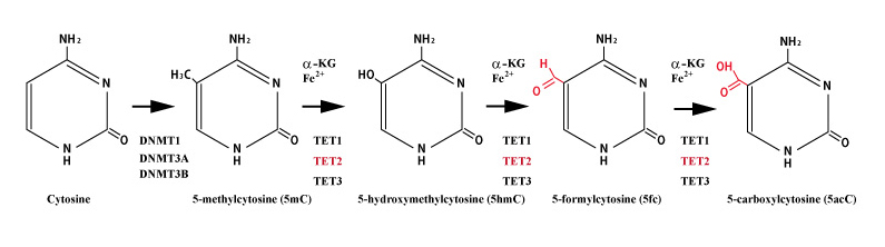
TET2, および TET2に近いTET1他を含む, TETファミリー蛋白は二価鉄イオンとαKG(αケトグルタル酸)依存性にDNAの5メチルシトシン(5-methylcytosine; 5-mc)を5ヒドロキシメチルシトシン(5-hydroxymethylcytosine; 5-hmc)へ変換するmethylcytosine dioxygenaseとして作用することが見出された。*1

hydroxymethylcytosine02.jpg

TET2は脱メチル化に関与しており, 機能喪失型変異によりDNAの脱メチル化が阻害されることになる。

TET2遺伝子変異をもつ患者はDNA高メチル化を認めるとの報告がある*2

ディオキシゲナーゼは修飾された遺伝子塩基, 5-メチルシトシン(5-methylcytosine[5mC])を5-ヒドロキシメチルシトシン(5-hydroxymethylcytosine[5hmC])へ転換する反応を触媒し活性化DNAを脱メチル化する重要な役割をもっている。また, 続いて起こる5hmCから5fc(5-formylcytosine)への転換および5fcから5-carboylcytosine(5caC)への転換も調節している。

DNA 5-methylcytosine + 2-oxoglutarate + O2 = DNA 5-hydroxymethylcytosine + succinate + CO2. [TETの触媒する反応]

DNAの脱メチル化に加えて, O-GluNAc transferase(OGT)を活性化DNAのCpG-rich転写開始部位に動員する。 このOGTのリクルートにより, ヒストンH2BのGluNAcylationが促進されることになる。*5*6*7*8*9

 

TET family proteins

TETfamilyproteins.jpg
 

TET2 gene

TET2-gene.jpg

TET2 mutation in cancers

myeloid cancerでは患者さんを選択しない場合のTET2変異の頻度は*12

 

TET2遺伝子は骨髄系腫瘍/リンパ系腫瘍, いずれにおいても高頻度に機能欠失性変異を来している. 最近, 正常造血を行っている高齢者の一部でもクローン性血液細胞が存在することが発見され, これらのクローンにおける遺伝子変異の中でTET2変異は2-3番目に頻度が高い. またこのクローン性血液細胞が存在すると造血器悪性腫瘍リスクが有意に高いことがわかっている.

TET2変異は骨髄系/リンパ球系の共通する前駆細胞レベルでおこり, それ単独では造血器腫瘍を発症しないが, いずれの腫瘍においてもsecond hitをまつ「前白血病/前リンパ腫状態」をきたしていると推察されている。*16

●個別の造血器腫瘍では, TET2と特異な遺伝子異常の組み合わせが見いだされており, この遺伝子異常組み合わせをマウスに導入すると個別のヒト造血器腫瘍が再現される

 
 

chronic myelomonocytic leukemia (CMML) and TET2 mutation

CMML--TET2 mutation-パラフィン包埋組織のNGS(Int J Clin Exp Patholo 2014;7(4):1667-1676)
TET2 Mutation types and distribution in CMML samples. Nine missense mutations within the two evolutionarily conserved regions (black boxes), 14 nonsense mutations (red boxes), 23 frameshift mutations (blue ovals) and three potential splice site mutations (orange ovals) in 27 of 39 patients (69.2%) at an average of 1.38 mutations per patient. Four of these mutations could be detected independently in multiple patients.

CMML-275症例のSRSF2, TET2遺伝子,他の変異 (Blood 2012;120(15): 3080-3088)
Alignment of gene mutations, karyotype information, and CMML category for 275 patients. (A) Each column represents 1 of the 275 analyzed samples. Analyses of 9 investigated genes, the karyotype, and CMML category-1 or -2 are depicted by colored bars. Red bar indicates mutated gene; dark gray bar, nonmutated gene; white bar, no data available; light-gray bar, normal karyotype; black bar, aberrant karyotype; gray bar, CMML-1; and anthracite bar, CMML-2.

CMML/MDS患者さんの TET2 mutation(Blood 2010;116(19):3923-3932) Seventy-one mutations in 55 of 355 persons were identified by NGS and mapped to the TET2 coding region. Mutations were identified that existed at ? 10% relative mutation abundance (RMA). These were mapped against TET2 translated exons 3-11 (NM.001127208; 2002 amino acids). Classification of mutations is indicated in the figure key and includes nonsense or insertion/deletion mutations (Indels), nonsynonymous amino acid changes, and splice-site mutations, indicated by orange, blue, and pink bars, respectively. Mutation level is also defined as > or ? 25% RMA, indicated by the solid or stippled bars, respectively. Regions conserved across the TET protein family, and implicated in the conversion of 5′ methylcytosine to 5′ methylhydroxycytosine (5-hmC), are shown (cons'd regions 1 and 2) and correspond to amino acids 1104-1478 and 1845-2002, respectively ([11] [18]).

TET2protein-mRNA.jpg
 

血管免疫芽球性T細胞性リンパ腫(AITL: 30-83%), 分類不能型末梢性T細胞性リンパ腫(PTCL-NOS: 10-49%)などリンパ球系腫瘍においても国内外の複数のグループから報告がある*17*18*19*20

いずれの腫瘍においても酵素活性部位をコードするC末端側にはミスセンス変異が集中, ナンセンス変異やフレームシフト変異はTET2タンパク質の全体に認められることより, これら造血器腫瘍の発症にはTET2機能喪失変異が関与していると考えられる。

 
 

高齢者における体細胞突然変異とCMMLの疾患成立

高齢者(>65-70歳以上)の約10%においては主にDNMT3A, ASXL1, TET2遺伝子体細胞変異が存在し, MDS/AML発症と強く関連している(2014年 Harvard Uni.の2つの論文)

1. 血液疾患,がんいずれにも罹患していない12,380例の末梢血DNAを全エクソームシークエンシング. 体細胞遺伝子変異をもつ片側アレルに変異を有する分画を検出, その読み(read)から定量化.(Genovese et al.)*21

2. 加齢とともに増加する造血器腫瘍に検出される特定遺伝子の反復性(recurrent)体細胞変異は, まだ血液腫瘍を発症していない一般集団においても見出されるのではないか?(Jaiswal et al.)*22

加齢に相関した異常クローン性造血は通常の現象であり, 造血器腫瘍および全死因死亡率とも関連している.

3. 論文1,2の先駆的論文(Moran-Crusio M et al.)*23

 

CMML発症のクローン構成(clonal architecture)の解明*24

CMML患者さんのCD34+骨髄細胞を成熟段階(造血幹細胞 hematopoietic stem cell:HSC, 多能性前駆細胞 multipotent progenitors, 骨髄系前駆細胞 common myeloid progenitors, 骨髄単球系前駆細胞 granulomonocyte progenitors)に分け単一細胞づつ増幅しクローン性の遺伝子異常を解析した.

CMMLの腫瘍幹細胞(Leukemia initiating cell:LIC)はMDSと同様, HSC由来である. 一方, AMLでは造血前駆細胞がLICと想定されている.

CMMLの病型を規定する遺伝子変異

CMMLでは発症の最も初期段階でクローン優位性を獲得させる遺伝子変異が必要であり, TET2変異はクローン性変異を獲得する基幹変異の一つであることが確認された.

次いで骨髄単球系優位の増加, 骨髄系細胞分化異常・細胞増殖にかかわる遺伝子異常が段階的に付加され直線的にクローンが進化して骨髄単球系増殖と多様な血液細胞減少などCMMLの特徴的な臨床病理像が形成される.


*1  Tahiliani M, et al. Conversion of 5-methylcytosine to 5-hydroxymethylcytosine in mammalian DNA by MLL partner TET1. Sience 324(5929): 930-935, 2009
*2  Figueroa ME et al., Leukemic IDH1 and IDH2 mutations result in a hypermethylation phenotype, disrupt TET2 function, and impair hematopietic differentiation. Cancer Cell 2010; 468: 839-843
*3  Pastor WA, et al., Genome-wide mapping of 5-hydroxymethylcytosine in embryonic stem cells. Nature. 2011 May 19;473(7347):394-7.
*4  Kriukiene E. et al., 5-Hydroxymethylcytosine--the elusive epigenetic mark in mammalian DNA. Chem Soc Rev. 2012 Nov 7;41(21):6916-30.
*5  Langemeijer S.M.C.,et al. Acquired mutations in TET2 are common in myelodysplastic syndromes. Nat. Genet. 2009; 41:838-842
*6  Ko M.,et al. Impaired hydroxylation of 5-methylcytosine in myeloid cancers with mutant TET2. Nature 2010; 468:839-843
*7  He Y.F.,et al. Tet-mediated formation of 5-carboxylcytosine and its excision by TDG in mammalian DNA. Science 2011; 333:1303-1307
*8  Deplus R.,et al. TET2 and TET3 regulate GlcNAcylation and H3K4 methylation through OGT and SET1/COMPASS. EMBO J.2013;32:645-655
*9  Chen Q.,et al.TET2 promotes histone O-GlcNAcylation during gene transcription. Nature 2013;493:561-564
*10  Ko M, et al., Modulation of TET2 expression and 5-methylcytosine oxidation by the CXXC domain protein IDAX.Nature. 2013 May 2;497(7447):122-6.
*11  Delatte B, et al, TET proteins: on the frenetic hunt for new cytosine modifications. Brief Funct Genomics. 2013 May;12(3):191-204
*12  Delhommeau F.,et al.Mutation in TET2 in myeloid cancers. N. Engl. J. Med. 2009; 360:2289-2301
*13  Mohamedali A, et al. Prevalence and prognostic significance of allelic imbalance by single-nucleotide polymorphism analysis in low-risk myelodysplastic syndromes. Blood. 2007 Nov 1;110(9):3365-73. Epub 2007 Jul 18.PMID:17634407 free full text
*14  Gondek LP, et al. Chromosomal lesions and uniparental disomy detected by SNP arrays in MDS, MDS/MPD,and MDS-derived AML. Blood. 2008 Feb 1;111(3):1534-42. Epub 2007 Oct 22. PMID:17954704 free full text
*15  Raghavan M, et al. Segmental uniparental disomy is a commonly acquired genetic event in relapsed acute myeloid leukemia. Blood. 2008 Aug 1;112(3):814-21. doi: 10.1182/blood-2008-01-132431. Epub 2008May 19. PMID:18490517 Free full text
*16  Chiba S Significance of TET2 mutations in myeloid and lymphoid neoplasms. Jpn J Clin Hematol 57(6);715-722:2016
*17  Quivoron C. et al., TET2 inactivation results in pleiotropic hematopoietic abnormalities in mouse and is a recurrent event during human lymphomagenesis. Cancer Cell. 2011 Jul 12;20(1):25-38.
*18  Lemonnier F. et al., Recurrent TET2 mutations in peripheral T-cell lymphomas correlate with TFH-like features and adverse clinical parameters.Blood. 2012 Aug 16;120(7):1466-9.
*19  Sakata-Yanagimoto M, et al., Somatic RHOA mutation in angioimmunoblastic T cell lymphoma. Nat Genet. 2014 Feb;46(2):171-5.
*20  Palomero T. et al., Recurrent mutations in epigenetic regulators, RHOA and FYN kinase in peripheral T cell lymphomas. Nat Genet. 2014 Feb;46(2):166-70.
*21  Genovese G, et al., Clonal hematopoiesis and blood-cancer risk inferred from blood DNA sequence. N Engl J Med. 2014 Dec 25;371(26):2477-87.
*22  Jaiswal S, et al., Age-related clonal hematopoiesis associated with adverse outcomes.N Engl J Med. 2014 Dec 25;371(26):2488-98.
*23  Moran-Crusio K et al., Tet2 loss leads to increased hematopoietic stem cell self-renewal and myeloid transformation.Cancer Cell. 2011 Jul 12;20(1):11-24.
*24  Itzykson R, et al., Clonal architecture of chronic myelomonocytic leukemias. Blood. 2013 Mar 21;121(12):2186-98.

トップ   新規 一覧 検索 最終更新   ヘルプ   最終更新のRSS